My vignettes from Gaoluo, taken from my book Plucking the winds, have featured both performing members of the village’s amateur ritual association (Cai Fuxiang, He Qing, Cai An) and supporters like the venerable Shan Zhihe. The name of Shan Fuyi has already cropped up in several posts, but he deserves a separate account.

Shan Fuyi (right) with my trusty colleague Xue Yibing, 1996.
Shan Fuyi (b.1940) is considered the village’s xiucai talented scholar. Amateur historian, painter and calligrapher, he is widely admired for his intelligence and artistic bent. He was given the task of writing the village history in 1965, and in between making donors’ lists for the opera troupe and the ritual association he did artwork for the Mao Zedong Thought Propaganda Troupe. Latterly he became a trusted employee of Boss Heng, the village’s own nouveau-riche entrepreneur.
We had heard so much about him, but since he was based at Boss Heng’s workplace near Laishui county-town, we never coincided in the village—he seemed elusive, and we even joked that maybe he was a figment of our imaginations.
Finally in 1996 we sought him out in his work-unit. He affably sat us down and, without any preamble, launched into a detailed account of the village from its founding through to the 1990s, instinctively understanding our brief without any need for the long justifications which we sometimes have to give cadres or even ordinary villagers. Indeed, later we did indeed meet up back in the village. Our hopes were well rewarded, and we had many edifying sessions with him, learning from his wide-ranging and impartial knowledge; his detachment in observing the vicissitudes of the village’s history was of rare value.
He is the main source of my account of the village’s early history (Plucking the winds, chs.1–3); indeed, his work gave us valuable perspectives on the history of the whole area, not least the terminology of village names and the she parish network.
Shan Fuyi is not a ritual specialist, and regards himself as a “thorough atheist”, but he takes a keen yet dispassionate interest in all aspects of human behaviour. He’s never been the leading type; unlike most Chinese, who are long accustomed to public speaking, he is petrified of such occasions; with my own stammer, this further endears him to me. He seems to float above the village, observing with detachment and perception. He understood our mission implicitly. He is at once down-to-earth and transcendent. Unassuming, introverted, yet humorous, he never bothered with the empty platitudes of Party-speak. Still, recalling his experiences in the Cultural Revolution and since, he reckons “I keep right up with the way things are going”, a charmingly ambiguous comment; perhaps his very detachment has enabled him to ride all the storms.
Shan Fuyi’s early years
Born in 1940 to a virtually illiterate father, Shan Fuyi attended private school in Zhuozhou county just north for half a year during the civil war when he was 7 sui. With quiet humour, he recalls:
Our texts were The Hundred Family Surnames and The Three Character Classic; when the 8th Route Army passed through we recited “Long live Chairman Mao”; when Nationalist troops passed through we recited “Long live Chairman Jiang” [Chiang Kaishek]; having not offended either of them, when they had both left we could get back to reciting “Zhao, Qian, Sun, Li” [The Hundred Family Surnames] again!
His godfather was Sun Xiang, a spirit medium and folk healer. In 1949 he entered 2nd grade at the village primary school. He recalled the village’s last rain procession that summer. From 1955 he attended the No.1 Secondary School in Laishui county-town, graduating from the junior department early in 1958. He then passed an exam to study surveying at technical college in distant Taiyuan, capital of Shanxi province to the west. In 1960 he began training at the Shanxi Machine Building Factory, but like many villagers, in the autumn of 1961 he was forced by the grave national economic hardships to return home to South Gaoluo, cutting short a promising career. He now served as book-keeper for the brigade orchards.
Meanwhile the village ritual associations continued to adapt to the new regime. After the Great Leap Forward and the famine, the revival of the early 1960s (however short-lived) was significant for the transmission of traditional culture. Not only were the village’s ritual associations reinvigorated, with a substantial group of new recruits training, but the opera troupe also revamped their equipment (Plucking the winds, pp.143–5). Like the ritual associations, they too sought donations from all the village households, shown on Shan Fuyi’s donors’ list dated 2nd moon 1964. In 1996 the musicians took it out to show us:

Writing a village history
In 1965 the Four Cleanups work-team ordered Shan Fuyi to compile a history of the village up to Liberation in 1948. This may seem like an unlikely task, but their purpose was frankly political: in order to “cleanse the class ranks”, they needed a definitive version of the village’s history (for more, see here).
In north China, apart from county gazetteers (from imperial, Republican, and reform eras), in some counties one finds slim volumes of “material on cultural history” (wenshi ziliao); but with rural literacy low, this is the only history of an individual village that I have seen compiled by a local scholar.
As I observed here, in my work with the Li family Daoist in Shanxi I mainly talk with one extended family, seemingly detached from politics, and with hardly any contact with local leaders. Indeed, the experience of “freelance” household Daoists was different from that of peasants tied to the land, and they were always straining to gain some independence from the production teams. Though inevitably deeply affected by political vicissitudes, they had little investment in the public affairs of the village. In Gaoluo, by contrast, several sources helped me to put the village’s ritual and social culture in political context: many of the members of the association held positions of authority under all three periods of 20th-century history, so we naturally talked with the village leadership. With their detailed knowledge of the modern history of the village, several men were able to offer clear accounts of major events in the area and to connect them to the village’s ritual association. But some of our most detailed material came from our talks with Shan Fuyi.
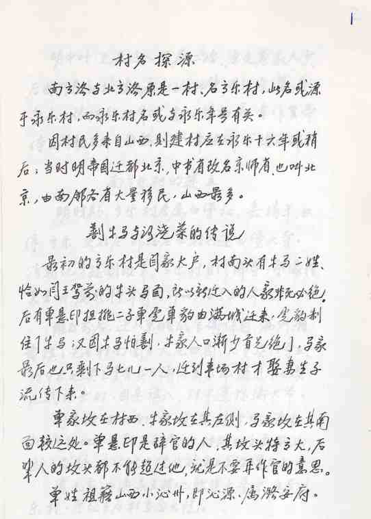
Back in 1965 he conscientiously set about the task of compiling the history. Though the avowed focus would inevitably be the modern political background, he avidly sought evidence for the early history of the village, right back to its founding in the Yongle reign-period (1403–24) of the early Ming. Apart from documenting oral traditions, he consulted several steles: those of the North Baibao temple from the Ming-dynasty Jiaqing era (1522–66), the temple of North Gaoluo from the Qianlong reign (18th century), and the Wenpu si temple in South Gaoluo from the Daoguang era (1840s). All these steles were soon to be destroyed. Still, even by the 1990s considerable material evidence survived for the history of both North and South villages of Gaoluo, supplementing Shan Fuyi’s research.

The opening of Shan Fuyi’s village history.
After our first meeting with Shan Fuyi in 1996 we all sought the history everywhere in the village and in the county-town, but it didn’t surface. In 1998 he finally brought out a revised version of the history for me, with a mere twenty pages; as he told me, his 1965 version was rather more detailed but also couched in more revolutionary language, full of criticism of “bad elements”, while for his new version he used a more natural style. In a charming reversal of one’s preconceptions, he was apparently giving the foreigner a version from which Communist propaganda had been censored!
In fact our detailed conversations with Shan Fuyi were much more honest and complete than any official version could possibly be. Moreover, his written history went only as far as 1948, whereas our sessions together took the story on to the present. Indeed, he was a thoughtful source for the Maoist and reform eras too.
One topic on which I was able to find considerably more detail in sources from outside the village, unavailable to Shan Fuyi, was the 1900 massacre, which turned out to be a major episode in Boxer history (Plucking the winds, pp.37–42 and p.387 n.42). A team from Tianjin University even came to carry out interviews in 1974. Similarly, while elderly villagers still recalled the Italian missionaries before 1949, I managed to document them further through the Stimmatini archives in Verona.
Inevitably, the representation of events surrounding the complex struggle for Liberation was particularly sensitive and controversial. In 1965 Shan Fuyi was still able to interview most of the protagonists in the revolution, including long-serving Party Secretary Heng Futian—despite his recent demotion—and the traumatized Cai Fuxiang.
The brigade gave work-points to those taking part in the meetings—I had to note them down. We sometimes met at Cai Fuxiang’s house—the meetings were held anywhere convenient.
By no means all the meetings were group sessions:
To understand the situation with “negative characters” (those with particularly bad historical problems) we usually did one-to-one interviews—viewpoints could be so different, you couldn’t sort it out in group meetings.
The next stage was to seek corroboration:
After absorbing the statements we’d taken from people in the village, we needed to corroborate them with historical material, so we sent to the county-town for old police statements. We were very conscientious about seeking proper evidence. Whenever I needed any material, I wrote a note for the work-team, and they sent people to get it.
Cai Fumin, one of the large group of young men who had just begun learning the ritual music, was secretary of the village Youth Corps. He recalled,
The work-team wrote a letter of introduction, and me and Ding You went down the county police station to copy a load of statements, like He Jinhu and He Jinshui’s confessions (they’d been executed as counter-revolutionaries), about how they’d fled, how they’d organised the Return-to-the-district troupes and stuff.
The Cultural Revolution
Shan Fuyi remained largely aloof from factional upheavals. He was known as a good writer and artist, and just as in 1964 he had made the donors’ list in traditional style for the opera troupe, now he inevitably got roped in by both Red Guard factions to write the inscriptions for armbands and flags, and to paint cartoons of “class enemies”. “Large-character posters” were pasted up on the wall of the brigade just opposite maestro Cai An’s house, beside Shan Fuyi’s spirited cartoons showing Capitalist Roaders in dunce’s caps and ratlike figures carrying sedans. As he recalled:
I criticised Deng Xiaoping, criticized Confucius, criticized Liu Shaoqi, criticised the Gang of Four—I criticized everyone except Chairman Mao!
The activities of the village Red Guards were both farcically infantile and casually vicious. While factional strife was not as yet too serious, the Red Guards now singled out not only cadres but helpless individuals with bad class backgrounds.
One main target of the Red Guards’ mission to destroy the “Four Olds” was the demolition of the Catholic church. But they had to work harder to find other icons to smash. The statues in the old temples were so decrepit that no-one had cared much when the brigade finally got rid of them in the early 60s. As Shan Fuyi observed caustically,
The Red Guards were searching for more things to destroy, but there was nothing left, so they had to fight each other instead!
Meanwhile stalwarts of the ritual association scrambled to rescue what artefacts of the village’s tradition that they could, like the Houtu precious scroll.
Shan Fuyi helped out in the village’s Mao Zedong Thought Propaganda Troupe, painting scenery and doing make-up. Still, petty rivalries persisted. Shan Fuyi recalled the troupe going to perform in nearby Fuwei village in 1967 or 1968. Just like a traditional ritual association, they sent someone ahead to issue a red “paper of homage”; the host village then made preparations, setting up the opera stage and matting tent, and making arrangements to feed the performers. When the day arrived, the hosts walked to the entrance of the village to receive the Gaoluo troupe:
The United faction managed to put the boot in that day. They spread a rumour that the opera troupe was only going to perform there so they could cadge a free meal. The performers had no choice but to display their revolutionary fervour by nobly declaring that they wouldn’t perform at all if the village insisted on feeding them; they had brought their own rations, and they would absolutely not eat other people’s food! It was late at night by the time the performance came to an end, but they stuck to their guns and went home with empty stomachs, honour intact.
For more on the Cultural Revolution in Gaoluo, see Plucking the winds, ch.6.
Shan Fuyi’s wedding
Meanwhile, at the height of factional conflict, Shan Fuyi got married on the 29th of the 10th moon in 1966. The wedding was a sign of the subtle obstinacy of tradition. Though no great traditionalist himself (his historical erudition is quite dispassionate), as he recalled it for us thirty years later, it was the resistance to imposed modernity which he stressed—he didn’t mention the correct “revolutionary” part of the ceremony at all. They naturally wanted to invite the school percussion band (“gong-and-drum brigade”, luogudui) to give them a lively send-off.
Although these bands were widely used by work-units everywhere to “report joy”, at the time the use of such music for private celebration was considered feudal—indeed, loud percussion in China commonly serves an exorcistic function to “chase off ghosts”. So at the time the school band was not supposed to play for weddings: the revolutionary slogan went “new affairs must be conducted in a new way”. But they weren’t putting up with that: the evening before the wedding they still borrowed the instruments, and our friends suave Shan Ling and upright teacher Shan Rongqing got up a band to play on the edge of the village; on the big day they played in Shan Fuyi’s courtyard.
Incidentally, the blowers-and-drummers from Shiguzhuang just north (who had escorted Shan Zhihe‘s bride in 1937) had still kept active in the 1950s, but after the Cultural Revolution broke out they too were silenced; during wedding feasts some families now asked the blind Shan Jiuhong to sing a few stories instead.
The other area of conflict between tradition and revolution in Shan Fuyi’s wedding was the custom that the couple should ride horses. The chief of the Women’s Association had dutifully informed them that the bride must not observe this feudal custom; but again they got round the problem. They got hold of a couple of horses and rode the three or four hundred metres from his bride’s house to his own, led by villagers taking the bridles. There were five or six tables at the feast, mainly for the two immediate families.
The response of the village cadres was also a sign of the times. They diplomatically stayed away, making excuses that they had business to do outside the village; if they went to the wedding, they’d have to criticise it, or else they’d be criticised themselves later, so it was better just to stay away and feign ignorance. Such “one eye open, one eye closed” behaviour has ever been a major part of “socialism with Chinese characteristics”: within the village, ideology and policy have always been sensitive to local conditions.
Since the reforms
Through the 1980s, after the collapse of the commune system, Shan Fuyi farmed his own land. He also found outlet for his artistic talents by painting landscapes for the corridors and gardens of a hospital in the suburbs of Beijing.
Shan Fuyi enjoys painting and calligraphy—as with his penchant for local history, he is self-taught. He did traditional paintings on the walls of the houses of his musician friends Cai Ran, Cai Yurun, and Shan Ling, a rare sighting in such villages. Maestro Cai An told us:
He did four paintings in his house showing the quarrels between his mother and grandmother, like a sort of cartoon. And he wouldn’t let his family take them down, so everyone could see—that takes a lot of guts! The women quarrelled less after that.
Quite soon after the 1980 restoration, Shan Fuyi made a painting for the ritual association. Depicting Dizang, god of the underworld, it was displayed at for funerals and also for the New Year rituals:

During this period while he was quite free, he also wrote a lengthy novel, “Dream of the spring boudoir”, aka “Miasma on the river of love”:


It describes illicit young love and wedding customs during the Cultural Revolution, against the background of a village opera troupe and the reclaiming of village land. He sent it to the Literature Association of the regional capital Baoding, who responded frankly that while it was well above the level demanded for publication, it wasn’t commercial enough since it was “pure literature”, not like the popular martial-arts romances that people wanted to read nowadays; if he wanted to publish it, he’d have to put up the money himself. So he put it back in his drawer. But in a poor rural society where literacy was still low, it’s impressive.
It was Shan Fuyi who made the ritual association’s handsome new donors’ list in 1990. Though we didn’t meet him until 1996, he was well aware that our first visit in 1989 had acted as a stimulus for a reinvigoration of the association. His phrase on the list, showing that the decrepit nature of their ritual building seen by a foreign visitor “lost face” for the Chinese people, turns out to have been sincere. For his story about the sexism of such donations, see here.

Shan Fuyi’s circumstances were transformed in 1991 when Boss Heng invited him to work at his embryonic tourist complex north of Laishui county-town, where he was made responsible for designing and organising architectural and horticultural features.
Shan Fuyi’s wife sometimes looked after the luxurious mansion of Boss Heng in South Gaoluo—a remarkable contrast with the lowly dwellings of other villagers. Of their four children, one son, training for a post in the air-force, married Boss Heng’s daughter on the politically-correct day of 1st October 1997, anniversary of the founding of the PRC. Though his connection with Boss Heng seems an uneasy alliance, this match must have confirmed his position as Heng’s protégé.
In 1995 my Gaoluo friends asked Shan Fuyi to do the calligraphy for a poem they had composed for me, which is one of my most treasured souvenirs:

One day, at a quiet and informal lunch with him and his family in the village, feeling utterly relaxed, I even broke my rule never to touch the lethal baijiu Chinese liquor, so free was he of the usual pompous macho ceremony which accompanies a drinking bout—and A Good Time Was Had By All.
Edifying commercial break: the highly palatable and efficacious Chongzhi Spirit, like Laishui county-town’s most enterprising institution, the Chongzhi Secondary school, is named after the great local mathematician Zu Chongzhi (430–510), who made what was to be the world’s most accurate measurement of Pi until the 16th century. A lot more accurate than if he’d been imbibing his eponymous spirit, I mused as I staggered out into the alley.
* * *
Again we see how the ritual association involved the whole village, serving its ritual needs both before and after Liberation. While Shan Fuyi was not an active member of the association, his research made major contributions in unearthing its history, and his artistic talents were in constant demand. We learned a lot from him.
Pingback: Gaoluo: the decline of spirit mediums | Stephen Jones: a blog
Pingback: Rain rituals in north China | Stephen Jones: a blog
Pingback: Women of Gaoluo | Stephen Jones: a blog
Pingback: More Chinese wordplay, and a poem | Stephen Jones: a blog
Pingback: A 2019 retrospective | Stephen Jones: a blog
Pingback: Gaoluo: early history | Stephen Jones: a blog – Dinesh Chandra China Story